7月18日,广东省2022年普通高考特殊类型招生(含高水平艺术团、高水平运动队、高校专项计划、综合评价等)录取结束,共录取2698人;本科批次正式投档,共投出考生300966人,其中:普通类(历史)投出78163人,普通类(物理)投出195409人,体育类投出4492人,音乐统考投出3636人,美术统考投出16635人,舞蹈统考投出883人,广播电视编导统考投出780人,书法统考投出334人,播音与主持校际联考投出634人。
广东省2021年起实行“院校专业组”投档方式,今年进一步优化院校专业组设置。从本科批次投档结果看,体育术科统考类、书法术科统考类和播音主持术科联考类均满档,普通类(物理)投档率超过99.3%,反映考生志愿填报意愿高,选择更加均衡、合理,志愿适配度和满足率进一步提高。除部分招生数量较大的民办院校、收费较高的院校专业组和部分有特别招生要求的院校专业组存在缺额外,绝大部分院校均一次性满档,特别是师范院校,考生报考热情高涨,省内的华南师范大学、广东技术师范大学等在大幅增加招生计划的情况下,仍一次性满档,投档排位也不低于往年。
今年,高水平大学继续受到“追捧”,考生报考热情高涨,生源情况十分理想。为此,清华大学、北京理工大学、南开大学、天津大学、南京大学、中国科学技术大学、北京师范大学(珠海校区)、西安交通大学、上海交通大学、上海交通大学医学院等在本科批次普通类模拟投档后,在广东省共追加了30多个招生计划。
根据招生录取工作日程安排,本科批次录取预计于7月22日结束,随后将对尚未完成招生计划的本科院校专业组进行征集志愿。
省教育考试院每天17:00通过短信及官微小程序等方式,公布截至当天11:30已录取的考生信息。请广大考生密切关注省教育考试院官微和官网有关通知,及时获取最权威的招生录取信息。
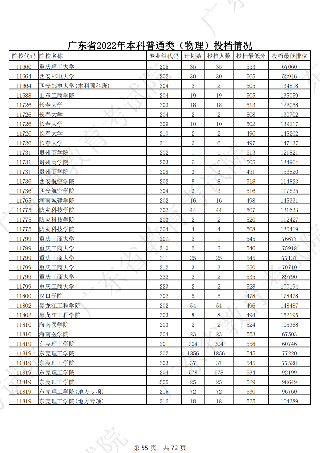
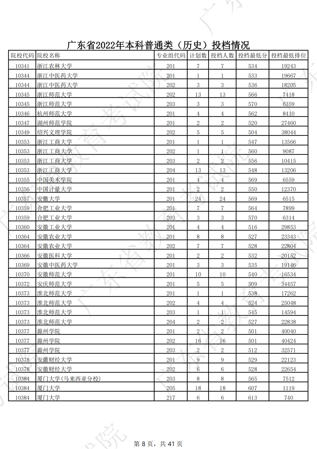
广东省2022年普通高考本科批次正式投档情况
长按识别或扫描下方二维码可查阅↓↓↓










































普通类(物理)








































































美术类统考









音乐类统考






体育类




舞蹈类统考


书法类统考

广播电视编导类统考


播音与主持类校际联考

(原标题《广东2022年普通高考本科批次投档情况出炉》)














